ஒளி முறிவ

by Geethalakshmi 2010-02-28 23:31:32

ஒளி முறிவு


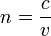
ஊடகங்களில் ஒளியின் வேகமானது, வெற்றிடத்தில் ஓளியின் வேகத்தைவிடக் குறைவானதாகும். வெற்றிடத்தில் ஓளியின் வேகம் c யினாலும், ஊடகத்தில் ஓளியின் வேகம் v யினாலும் தரப்படின், அவ்வூடகத்தின் முறிவுச்சுட்டி n ஆனது,



இனால் தரப்படும்.


இதிலிருந்து, வெற்றிடத்தின் முறிவுச்சுட்டி n = 1 எனவும், அடர்ந்த ஊடகங்களின் முறிவுச்சுட்டி n > 1 எனவும் தெரிந்து கொள்ளலாம்.


ஒளியானது வெற்றிடத்தில் அல்லது வேறொரு ஊடகத்தில் இருந்து இன்னொரு ஊடகத்தினுள் செல்கின்ற போது, அது தனது அதிர்வெண்ணை மாற்றாது அலைநீளத்தை மட்டுமே மாற்றுகிறது. ஓளியானது ஊடகத்தின் விளிம்பிற்கு செங்குத்து அல்லாத வேறு எத்திசையில் படும்போதும், அது தான் செல்லும் திசையினை மாற்றுகிறது. இத் தோற்றப்பாடு ஓளிமுறிவு எனப்படும்.
1666
like
0
dislike
0
mail
flag

You must LOGIN to add comments